First Order Differential Equations Ppt Download
The solution can be written as x2y2 x4 = C2 x 2 y 2 x 4 = C 2 Let C2 = K C 2 = K, thus the solution becomes y2 = Kx4−x2 y 2 = K x 4 − x 2 Thus, the solution of the differential equationSolve the differential equation (x²xyy²)dxxydy=0 ((x squared minus xy minus y squared)dx minus xydy equally 0) various methods for solving and various orders of differential equations THERE'S THE ANSWER!
Solve sqrt(1+x^(2)+y^(2)+x^(2)y^(2))+xy(dy)/(dx)=0
Solve sqrt(1+x^(2)+y^(2)+x^(2)y^(2))+xy(dy)/(dx)=0- selected by Vikash Kumar Best answer Given,√ (1x2y2x2y2) xydy/dx=0 By simplifying the equation, we get Now substituting these value of t and m, we get ← Prev Question Next Question →\frac{y}{2} मेळपा खातीर 2 न x संज्ञेचो कोऐफिशियंट आशिल्लो y क भाग लावचो
Solve X 2 Y 2 Dx 2xy Dy 0 Sarthaks Econnect Largest Online Education Community
Selesaikan masalah matematik anda menggunakan penyelesai matematik percuma kami yang mempunyai penyelesaian langkah demi langkah Penyelesai matematik kami menyokong matematik asas, praalgebra, algebra, trigonometri, kalkulus dan banyak lagi2 Find an integrating factor and solve the following differential equation (x^2 y^2 x)dx xydy = 0;Solution Verified by Toppr Different equation (x 2xy)dy=(x 2y 2)dx ⇒ dxdy= x 2xyx 2y 2 by putting y=vx ∴dxdy=vx dxdv ∴vx dxdv= x 2vx 2x 2v 2x 2 ⇒vx dxdv= x 2(1v)x 2(1v 2) ⇒x dxdv= (1v)(1v 2)−v
This question asked us to solve the differential equation three X squared y squared Not what we know is that if this is r d y o ver de axe than r D y over, why squared is three x squared DX This allows us to get the X is on the same side and the wise on the same side No, let's take the integral The integral of this is negative one over Why be integral off this increased exports by one Transcript Ex 95, 12 For each of the differential equations in Exercises from 11 to 15 , find the particular solution satisfying the given condition 𝑥2𝑑𝑦 𝑥𝑦 𝑦2 𝑑𝑥=0;𝑦=1 When 𝑥=1 The differential equation can be written 𝑎s 𝑥2𝑑𝑦 = − (xy y2) dx 𝑑𝑦𝑑𝑥 = −Complete stepbystep answer A differential equation is an equation that relates one or more functions and their derivatives We are given the expression ( x 2 y 2) d x − 2 x y d y = 0 and we need to solve for this differential equation As a first step, we need to find
Solve sqrt(1+x^(2)+y^(2)+x^(2)y^(2))+xy(dy)/(dx)=0のギャラリー
各画像をクリックすると、ダウンロードまたは拡大表示できます
![]() Answer The Following Question Translation The Soluti Math | Answer The Following Question Translation The Soluti Math | ![]() Answer The Following Question Translation The Soluti Math |
Answer The Following Question Translation The Soluti Math | ![]() Answer The Following Question Translation The Soluti Math | ![]() Answer The Following Question Translation The Soluti Math |
Answer The Following Question Translation The Soluti Math | ![]() Answer The Following Question Translation The Soluti Math | ![]() Answer The Following Question Translation The Soluti Math |
![]() Answer The Following Question Translation The Soluti Math | ![]() Answer The Following Question Translation The Soluti Math | Answer The Following Question Translation The Soluti Math |
![]() Answer The Following Question Translation The Soluti Math | ![]() Answer The Following Question Translation The Soluti Math | Answer The Following Question Translation The Soluti Math |
Answer The Following Question Translation The Soluti Math | Answer The Following Question Translation The Soluti Math | ![]() Answer The Following Question Translation The Soluti Math |
![]() Answer The Following Question Translation The Soluti Math | ![]() Answer The Following Question Translation The Soluti Math | ![]() Answer The Following Question Translation The Soluti Math |
![]() Answer The Following Question Translation The Soluti Math | ![]() Answer The Following Question Translation The Soluti Math | ![]() Answer The Following Question Translation The Soluti Math |
Answer The Following Question Translation The Soluti Math | ![]() Answer The Following Question Translation The Soluti Math | Answer The Following Question Translation The Soluti Math |
![]() Answer The Following Question Translation The Soluti Math | ![]() Answer The Following Question Translation The Soluti Math | Answer The Following Question Translation The Soluti Math |
Answer The Following Question Translation The Soluti Math | ![]() Answer The Following Question Translation The Soluti Math | ![]() Answer The Following Question Translation The Soluti Math |
![]() Answer The Following Question Translation The Soluti Math | ![]() Answer The Following Question Translation The Soluti Math | Answer The Following Question Translation The Soluti Math |
![]() Answer The Following Question Translation The Soluti Math | ![]() Answer The Following Question Translation The Soluti Math | ![]() Answer The Following Question Translation The Soluti Math |
![]() Answer The Following Question Translation The Soluti Math | ![]() Answer The Following Question Translation The Soluti Math | Answer The Following Question Translation The Soluti Math |
![]() Answer The Following Question Translation The Soluti Math | ![]() Answer The Following Question Translation The Soluti Math | Answer The Following Question Translation The Soluti Math |
Answer The Following Question Translation The Soluti Math | Answer The Following Question Translation The Soluti Math | Answer The Following Question Translation The Soluti Math |
Answer The Following Question Translation The Soluti Math | Answer The Following Question Translation The Soluti Math | Answer The Following Question Translation The Soluti Math |
Answer The Following Question Translation The Soluti Math | ![]() Answer The Following Question Translation The Soluti Math | ![]() Answer The Following Question Translation The Soluti Math |
![]() Answer The Following Question Translation The Soluti Math | Answer The Following Question Translation The Soluti Math | Answer The Following Question Translation The Soluti Math |
Answer The Following Question Translation The Soluti Math | Answer The Following Question Translation The Soluti Math | ![]() Answer The Following Question Translation The Soluti Math |
![]() Answer The Following Question Translation The Soluti Math | ![]() Answer The Following Question Translation The Soluti Math | ![]() Answer The Following Question Translation The Soluti Math |
![]() Answer The Following Question Translation The Soluti Math | ![]() Answer The Following Question Translation The Soluti Math | ![]() Answer The Following Question Translation The Soluti Math |
![]() Answer The Following Question Translation The Soluti Math | Answer The Following Question Translation The Soluti Math | Answer The Following Question Translation The Soluti Math |
![]() Answer The Following Question Translation The Soluti Math | Answer The Following Question Translation The Soluti Math | ![]() Answer The Following Question Translation The Soluti Math |
![]() Answer The Following Question Translation The Soluti Math | Answer The Following Question Translation The Soluti Math | ![]() Answer The Following Question Translation The Soluti Math |
Answer The Following Question Translation The Soluti Math | ![]() Answer The Following Question Translation The Soluti Math | ![]() Answer The Following Question Translation The Soluti Math |
Answer The Following Question Translation The Soluti Math | ![]() Answer The Following Question Translation The Soluti Math | Answer The Following Question Translation The Soluti Math |
![]() Answer The Following Question Translation The Soluti Math | ![]() Answer The Following Question Translation The Soluti Math | ![]() Answer The Following Question Translation The Soluti Math |
![]() Answer The Following Question Translation The Soluti Math | ![]() Answer The Following Question Translation The Soluti Math | ![]() Answer The Following Question Translation The Soluti Math |
![]() Answer The Following Question Translation The Soluti Math | ![]() Answer The Following Question Translation The Soluti Math | ![]() Answer The Following Question Translation The Soluti Math |
![]() Answer The Following Question Translation The Soluti Math | ![]() Answer The Following Question Translation The Soluti Math | ![]() Answer The Following Question Translation The Soluti Math |
![]() Answer The Following Question Translation The Soluti Math | ![]() Answer The Following Question Translation The Soluti Math | ![]() Answer The Following Question Translation The Soluti Math |
Answer The Following Question Translation The Soluti Math | Answer The Following Question Translation The Soluti Math | Answer The Following Question Translation The Soluti Math |
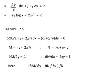
Answer For the equation (x^2 y^2 x)dx xydy =0 , take xy=V(x) Obtain ( x^2 V^2/x^2 x )dx V( xdV Vdx)/x^2 =0 Then (x^2 x)dx VdV/x =0Separating (x^3 x^2)dx = VdV Integrating obtain the solution 6x^2y^2 4x^3 3x^4 = C Ex 94, 16 For xy dy/dx = (x 2) (y 2), find solution Chapter 9 Class 12 Differential Equations Serial order wise
Incoming Term: solve (x^2+y^2+x)dx+xydy=0, f) solve (x^(2)+y^(2)+x)dx+xydy=0, solve (x^2+y^2)dx+(x^2-xy)dy=0, (x^2+y^2+x)dx+xydy=0 general solution, solve (x sqrt(x^(2)+y^(2))-y^(2))dx+xydy=0, solve 2√1+x^ 2 +y^ 2 +x^ 2 y^ 2 +xy dy/dx=0, solve sqrt(1+x^(2)+y^(2)+x^(2)y^(2))+xy(dy)/(dx)=0, obtain the general solution (x^2+y^2)dx+(xy)dy=0, 30.solve (x sqrt(x^(2)+y^(2))-y^(2))dx+xydy=0,


































































0 件のコメント:
コメントを投稿